EN
微思高压均质机:聚苯乙烯微球的制备

以下是《聚苯乙烯微球制备及功能化研究进展》的详细内容总结,按论文结构分层呈现:


一、研究背景与意义

聚苯乙烯微球(PS微球)是一种粒径可控(纳米至微米级)、表面易功能化的高分子材料,具有高比表面积、化学稳定性好、可回收等特性。通过苯环修饰(如磺化、氨基化等)可引入多种官能团,拓展其在生物医学、环境治理、能源催化等领域的应用。当前研究聚焦于绿色合成、多功能集成及规模化生产的挑战。

聚苯乙烯微球的特性、应用及研究背景:

定义与特点: PS微球是粒径在纳米至微米尺度(几十纳米到几百微米)、结构规则、粒径分布可调控的功能性高分子材料。其核心优势在于巨大的比表面积、优异的吸附与反应活性、耐溶解性、难生物降解性及易于回收性。其表面的苯环为功能化改性(如氯乙酰化、硝化、磺化、羧基化、氨基化等)提供了关键位点。


聚苯乙烯微球的特性

二、制备方法

1. 传统方法

1.1 乳液聚合
通过乳化剂将疏水性单体分散在水相中,后通过自由基聚合反应来合成微球, 该方法制备的工艺简单,这种方法制备的聚苯乙烯微球尺寸均匀,单分散性好,粒径通常在几十到几百纳米之间。成本低反应速度快、传热好

图1 乳液聚合流程示意图


关键参数:乳化剂浓度(如超过CMC时胶束成核)、搅拌速率。


1.2 悬浮聚合
悬浮聚合法是将不溶于水、溶有引发剂的单体,利用强烈的机械搅拌以小液滴形式分散在溶有分散剂的液相介质中,完成聚合反应的一种方法。在搅拌的作用下,单体于水中形成一个个小液滴,引发剂容易溶入单体中,在每个小液滴中进行本体聚合,逐渐形成聚合物粒子。

 

图2 悬浮聚合流程示意图


此方法适合制备100-1000μm大颗粒,但粒径分布较宽。齐东明及其团队通过超声辅助微悬浮聚合技术,制备了粒径可调的单分散聚苯乙烯微球,可改善单分散性。


1.3 沉淀聚合
沉淀聚合是一种非均相聚合技术,通过单体和引发剂在溶剂中的溶解进行聚合。生成的聚合物不溶于反应介质析出,形成颗粒。该方法的优势在于不依赖表面活性剂,适合制备大颗粒微球。

Stover团队以乙腈为溶剂的研究,成功制备出了单体的共聚物微球。这种方法局限在于粒径分布难以严格控制,且过程调控较为复杂。

表1 传统聚苯乙烯微球的制备方法、特点及应用


2. 改进的制备方法

2.1无皂乳液聚合

无皂乳液聚合法无需传统乳化剂,乳化剂用量一般低于临界胶束浓度或完全不添加,通过引发剂或反应条件控制界面稳定性,使单体在水相直接成核,靠静电排斥力稳定微球,避免表面活性剂残留,适合生物医学应用。

有着显著的环保优势和较高的微球纯净性,但其聚合速率较慢、固含量低及难以制备出1um以下的微球。


2.2细乳液聚合

细乳液聚合技术由美国Lehigh大学的Ugelstad于1973年提出,其核心在于通过助乳化剂(如十六烷或十六醇)与乳化剂的协同作用,在高速剪切下形成粒径为50-500 nm的稳定微小液滴。这些液滴的比表面积大,成为聚合反应的主要成核场所,从而区别于传统乳液聚合的胶束成核机制。


2.3种子溶胀聚合法

种子溶胀聚合法是一种使用预先准备好的小粒径单分散微球作为种子,在膨胀剂的作用下进行溶胀,然后通过引发剂触发聚合过程的技术。

通过预制备种子微球溶胀后聚合,获得1-100μm单分散颗粒(如Ugelstad两阶段溶胀技术)。

 表2 改进的聚苯乙烯微球的制备方法、特点及应用

 

三、聚苯乙烯微球的功能化改性

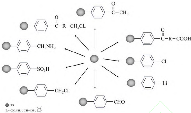
1. 表面功能化技术

图3 聚苯乙烯微球表面引入特定功能化基团


聚苯乙烯微球经表面引入羟基、羧基、氨基等特定官能团实现功能化,赋予其新特性以满足多样化应用需求。功能化微球制备主要有直接用含功能性基团单体聚合和后续化学修饰两种方法,后者因工艺简单、易控制而应用更广。常见功能化改性方法有四种:在苯环结构引入官能团、在苯乙烯分子链末端修饰官能团、与其他单体共聚、制备时引入特殊交联剂。


2. 核壳结构设计

• 金属/金属氧化物负载:如Ag/TiO₂赋予抗菌或光催化特性。

• 磁性复合微球:Fe₃O₄@PS用于细胞分选、核酸提取(核壳型、夹心型等结构)。


在聚苯乙烯微球表面包覆功能性材料构建多功能核壳结构,是性能集成与功能拓展的关键。金属及金属氧化物负载常用化学还原或溶胶-凝胶法,沉积银、金等金属或二氧化钛等金属氧化物,赋予微球抗菌、光催化或磁性,用于催化剂、光学传感、抗菌及磁性分离等。

包覆荧光染料等可提升微球在光学、电子和磁学领域表现,修饰荧光分子用于生物成像和诊断,引入磁性材料(如Fe₃O₄)利于细胞分选和靶向药物输送。

羧基磁珠是磁性高分子复合微球,通过核壳型等结构实现多样化性能,表面经功能性基团修饰,提升化学修饰能力和生物相容性,在体外诊断领域广泛应用。其结构分类:核壳类以磁性纳米颗粒为核、高分子微球为壳;反核壳以高分子微球为核、磁性纳米粒子为壳;夹心类核与外层为高分子微球、中间层为磁性纳米材料;弥散型磁性纳米粒子均匀分布于聚合物微球

图3 常见磁珠的分类

3. 性能优化

• 生物相容性:PEG修饰减少蛋白吸附,提升药物载体安全性。

• 化学稳定性:硅/碳涂层增强耐酸碱和高温性能。

为适配生物医学与复杂化学环境,聚苯乙烯微球需经多种改性提升生物兼容性与化学稳定性。表面修饰亲水性基团(如羟基、羧基、聚乙二醇链段),可增强微球亲水性,减少生物体液中蛋白吸附,避免与血液免疫因子反应,提升药物释放系统安全性与有效性。修饰抗菌分子(如银离子、抗菌肽),微球能高效抗菌,抗菌分子通过与细菌细胞膜电荷作用或氧化应激破坏细胞结构,常用于医疗器械涂层和伤口敷料。

涂覆惰性层(如硅层、碳层),可增强微球在酸碱、高温、有机溶剂中的耐受性,使其在极端环境下能作催化剂载体或过滤介质,拓展了高难度应用场景。


四、应用领域

生物医学领域:

药物传递系统:作为药物载体,实现药物的靶向输送和控释释放。例如,在癌症治疗中,可通过靶向细胞或肿瘤,减少药物对健康组织的副作用,提高治疗效果。

细胞标记与追踪:通过荧光标记的聚苯乙烯微球,可以观察和研究细胞的行为和动态。

生物传感器:利用微球的特异性和敏感性,检测生物分子、细胞或病毒等目标物。

生物标记和免疫诊断:其表面可以轻松地进行功能化,嵌入抗体、抗原或其他分子,形成免疫分析所需的生物标记。通过与目标分子(如细菌、病毒或肿瘤细胞)结合,能够用于荧光标记、磁性分离或色谱分析等技术,从而提高实验检测的灵敏度和准确性。

体外诊断:在细胞分离、核酸提取、免疫分析、化学发光和电化学发光等体外诊断领域具有广泛应用。


材料科学领域:

制备复合材料:作为增强相或填充相,用于制备高性能的复合材料。

制备涂层、墨水、胶水等:其均一的粒径和稳定的性质有助于提高这些材料的性能。

作为纳米反应的载体或模板:用于制备具有特定结构和性质的纳米材料。


化学分析领域:

高效液相色谱柱的填料:要求粒径单分散,否则会降低柱效能,造成拖尾,难以满足分析要求。

环境监测:通过表面功能化,选择性地吸附和检测环境中的特定离子或污染物;通过与特定化学物质或污染物的表面结合,可用于气体传感、环境污染物检测等领域,在水质监测和空气质量检测等方面具有较高的灵敏度。

分离与纯化:在生物化学和分子生物学实验中,用于快速分离和纯化生物分子,如DNA、RNA和蛋白质。


其他领域:

涂料领域:可用于生产涂料助剂。

工业应用:可用于水处理、油墨等工业应用。


相关产品
400 888 9801
wsmarketing@weissnano.com
苏州市相城区春耀路21号硕贝德科技园1号楼
【微信扫一扫联系我们】
Copyright © 2021 微思纳米科技(苏州)有限公司 版权所有 All rights reserved 备案号:苏ICP备2024122122号-2